• Предмет: Математика
  • Автор: quinsx
  • Вопрос задан 2 года назад

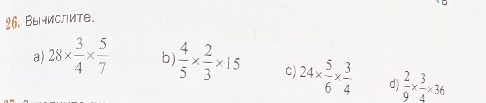
Вычислите.
примеры на фото​

Приложения:

Ответы

Ответ дал: pantilyaalex
1

Ответ:

а) 15

b) 8

c) 15

d) 6

Объяснение:

а) 28 * 3/4 * 5/7 =  7 * 3 * 5/7 = 3 * 5 = 15

b) 4/5 * 2/3 * 15 =  4 * 2/3 * 3 = 4 * 2 = 8

c) 24 * 5/6 * 3/4 =  4 * 5 * 3/4 = 5 * 3 = 15

d) 2/9 * 3/4 * 36 =  3/2 * 4 = 3 * 2 = 6

Вас заинтересует