• Предмет: Математика
  • Автор: Аноним
  • Вопрос задан 2 года назад

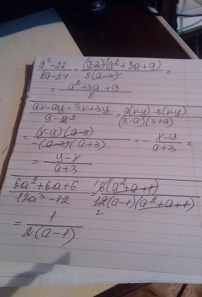
2. Скоротити дроби: a) 6) B) •• •• 4a 16b ; x² - 25 2x-10 4a +80 8a ; Б-Ы b² - b ax-ay-3x+3y 2 9-a² a²-2a +1 2a-2 (2x-2y) 2у² - 2x²​

Ответы

Ответ дал: pisynchikdedyl
0

Пошаговое объяснение:

ну вот думаю все понятно

Приложения:
Вас заинтересует