• Предмет: Алгебра
  • Автор: Nambe1
  • Вопрос задан 10 лет назад

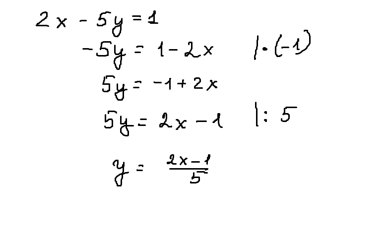
как выразить Y через x. подскажите как выразить у через х в линейном уравнении 2x-5y=1

Ответы

Ответ дал: esmilya
0
Если понравилось решение - нажимай "спасибо" и "лучший" (рядом с кнопкой "спасибо") :)
Приложения:
Вас заинтересует