• Предмет: Алгебра
  • Автор: ursitsylflxh
  • Вопрос задан 1 год назад

СРОЧНО ПОЖАЛУСТА!!!!!!!!!

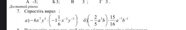
Приложения:

Ответы

Ответ дал: sofialavrentiva941
1

Ответ:

надеюсь хоть чем то помогла ее

Приложения:
Вас заинтересует