• Предмет: Алгебра
  • Автор: artemkozarenko203
  • Вопрос задан 1 год назад

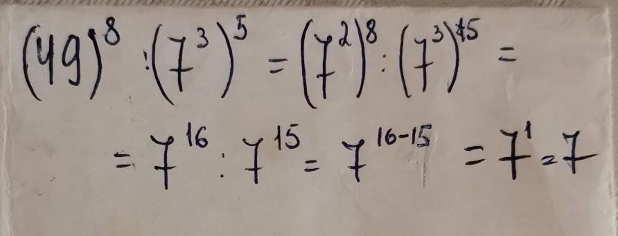
(49)⁸:(7³)⁵;
подводка поможет согрешить ​

Ответы

Ответ дал: aysukuliyeva13
1

все легко и просто нужно ещё немного постараться и все сможешь сделать сам(а)

Приложения:

artemkozarenko203: спасибо огромное
Вас заинтересует