• Предмет: Математика
  • Автор: 1Kolomiets1
  • Вопрос задан 2 года назад

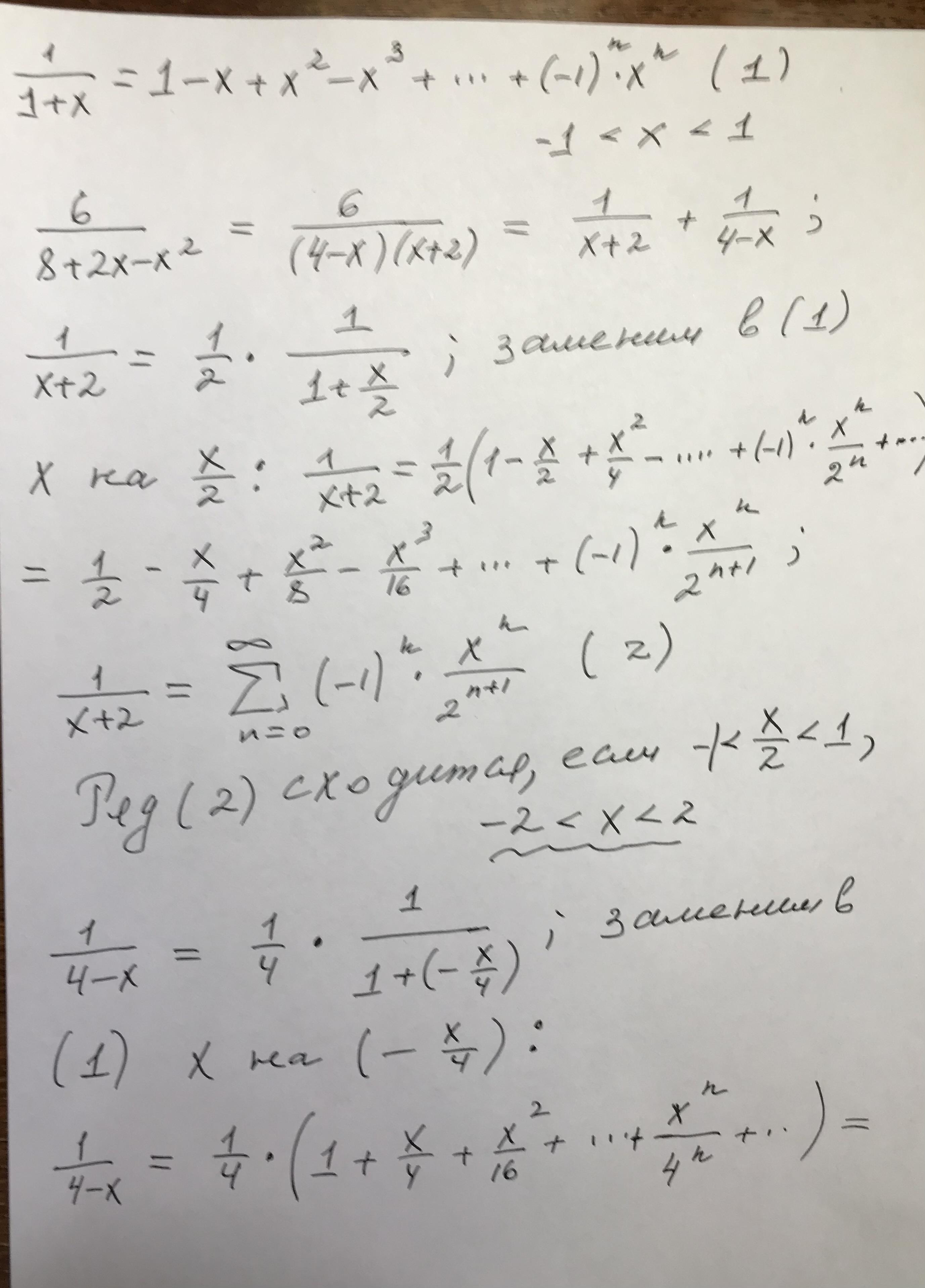
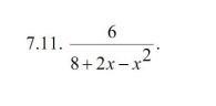
Розкласти функцію в ряд Тейлора за степенями х і знайти область збажності отриманого ряду

Приложения:

Ответы

Ответ дал: antonovm
1

Ответ:

.........................................................

Пошаговое объяснение:

Приложения:
Вас заинтересует