• Предмет: Математика
  • Автор: akmalovazuhra36
  • Вопрос задан 1 год назад

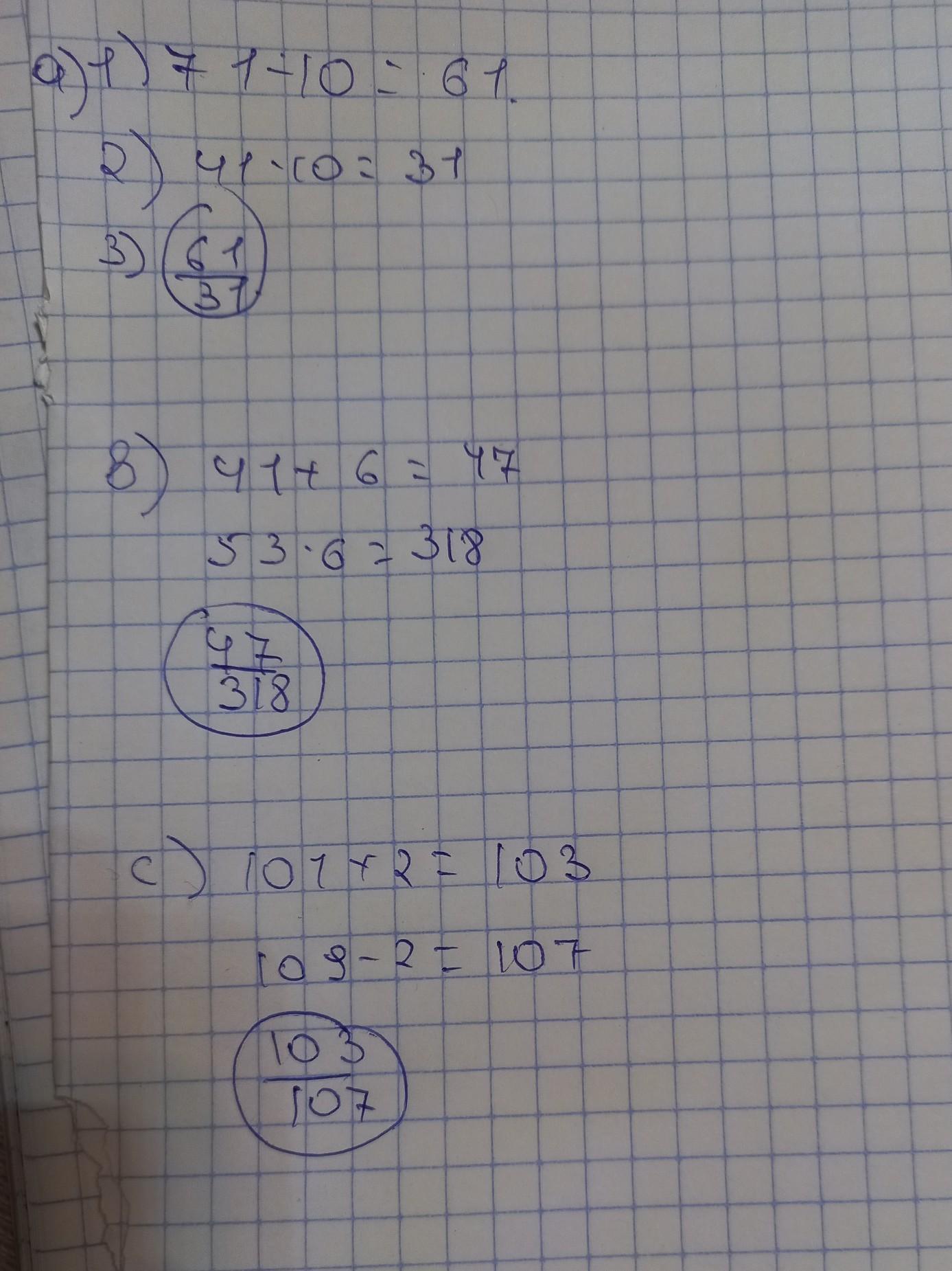
305. 1) 71-10/41-10 2) 41 +6/53•6 3) 101+2/ 109 -2
кто сделает с объявлением тому 100 баллов​

Ответы

Ответ дал: nilaynamazzade2011
3

Пошаговое объяснение:

надеюсь помогла.

.......

Приложения:
Вас заинтересует