• Предмет: Алгебра
  • Автор: vikatorgac330
  • Вопрос задан 1 год назад

помогите пожалуйста ​

Приложения:

Ответы

Ответ дал: vodoleyka2501
1

Ответ:

Объяснение:

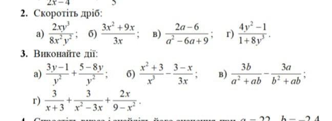
2.

a) = \frac{y}{4x}

б) = \frac{3x(x+3)}{3x} = x+3

в) = \frac{2(a-3)}{(a-3)^{2} } = \frac{2}{a-3}

г) = \frac{(2y-1)(2y+1)}{(1+2y)(1-y+y^{2})\\} = \frac{2y-1}{1-y+y^{2} }

3.

a) = \frac{3y-1+5-8y}{y^{2} } = \frac{4-5y}{y^{2} }

б) = \frac{3(x^{2} +3)-x^{2} (3-x)}{3x^{3} } = \frac{3x^{2} +9-3x^{2} +x^{3} }{3x^{3} } = \frac{3}{x^{3} } +\frac{1}{3}

в) = \frac{3b}{a(a+b)} - \frac{3a}{b(b+a)} = \frac{3b^{2}-3a^{2}  }{ab(a+b)} = \frac{3(a+b)(a-b)}{ab(a+b)} = \frac{3a-3b}{ab} = \frac{3}{b} - \frac{3}{a}

г) = \frac{3}{x+3} + \frac{3}{x(x-3)} +\frac{2x}{(3-x)(3+x)} = \frac{3x(x-3)+3(x+3)-2x^{2} }{x(x-3)(x+3)} = \frac{3x^{2} -9x+ 3x+9-2x^{2} }{x(x-3)(x+3)}= \frac{x^{2}-6x+9 }{x(x-3)(x+3)} = \frac{(x-3)^{2} }{x(x-3)(x+3)} = \frac{x-3}{x^{2} +3x}


vikatorgac330: спасибо
Вас заинтересует