• Предмет: Математика
  • Автор: karpenkopolina22
  • Вопрос задан 1 год назад

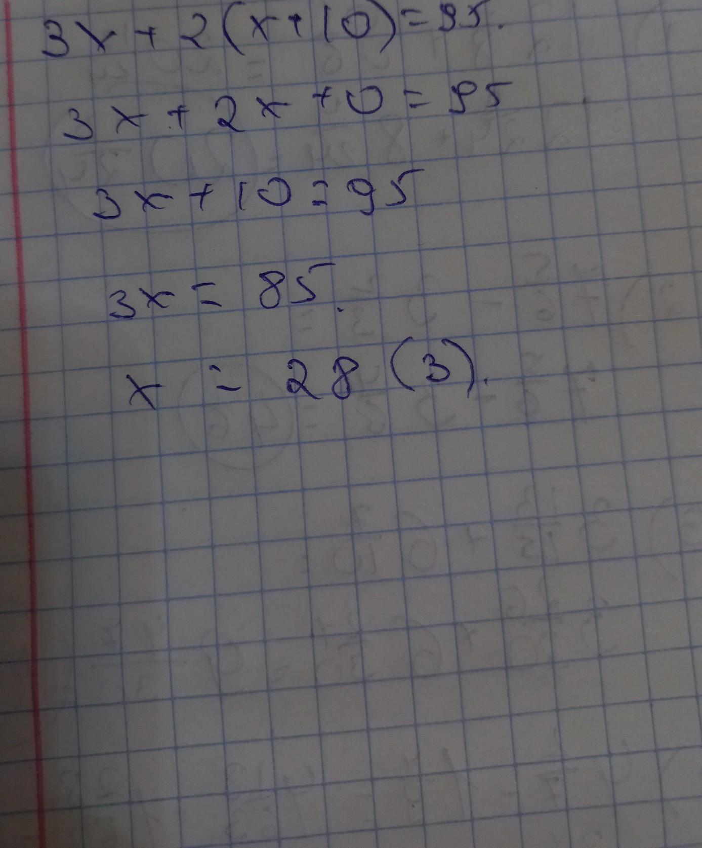
3х+2(х+10)=95 решите это без раскрывания скобок или с раскрыванием скобок раскрываниям правильным

Ответы

Ответ дал: nilaynamazzade2011
2

Ответ:

в конце 28 целых три в периоде.

Приложения:
Ответ дал: kraslucifer93
1

Ответ:

поставь пж 5 звёзд

Пошаговое объяснение:

3x+ 2x+20=95

3x+2x= 5x

95-20= 75

5x=75

x= 75/5

x=15

Вас заинтересует