Ответы
Ответ дал:
0
Вот не благодари :)
Приложения:

sokovlady:
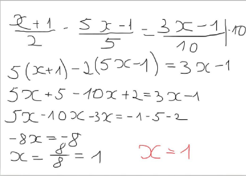
ой я ошибся, там -8x=-8 ; x = 1
Вас заинтересует
1 год назад
1 год назад
1 год назад
2 года назад
2 года назад
8 лет назад