• Предмет: Химия
  • Автор: zanat2022k
  • Вопрос задан 1 год назад

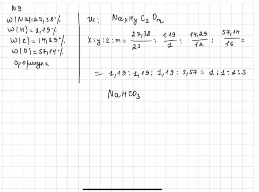
Адамды құмырсқа шаққанда шаққан жері дуылдап аши бастайды оның себебі құмырсқадан бөлінетін қышқылда қышқыл теріге тиген жерін күйдіреді сол үшін тері ашийдв осы қышқылдың құрамы көміртек 26,09% сутек 4,35% оттек -69,54%тұратвндвғы белгілі болса құмырсқа қышқылының формуласын жазыңыз

Ответы

Ответ дал: mahabbat6916
1

100% правильный ответ

проверено мной

Приложения:
Вас заинтересует