• Предмет: Алгебра
  • Автор: svetlovnikolas
  • Вопрос задан 2 года назад

Допоможіть із системою рівнянь будь ласка!

Приложения:

Ответы

Ответ дал: 7x8
1

Ответ:

1;\ 5

Объяснение:

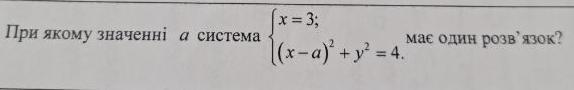
\displaystyle \begin{cases}x=3\\(x-a)^2+y^2=4\end{cases}\\\\\begin{cases}x=3\\(3-a)^2+y^2=4\end{cases}\\\\(3-a)^2+y^2=4\\\\y^2+(3-a)^2-4=0

має один розв’язок, якщо D=0

\displaystyle D=0^2-4\cdot 1\cdot((3-a)^2-4)=-4(3-a)^2+16\\\\-4(3-a)^2+16=0\ \ \ \ |:(-4)\\\\(3-a)^2-4=0\\\\(3-a-2)(3-a+2)=0\\\\(-a+1)(-a+5)=0\\\\-a+1=0 \ \ \ \ \ \ \ \ \ \ -a+5=0\\\\a=1 \ \ \ \ \ \ \ \ \ \ \ \ \ \ \ \ \ \ \ a=5

Вас заинтересует