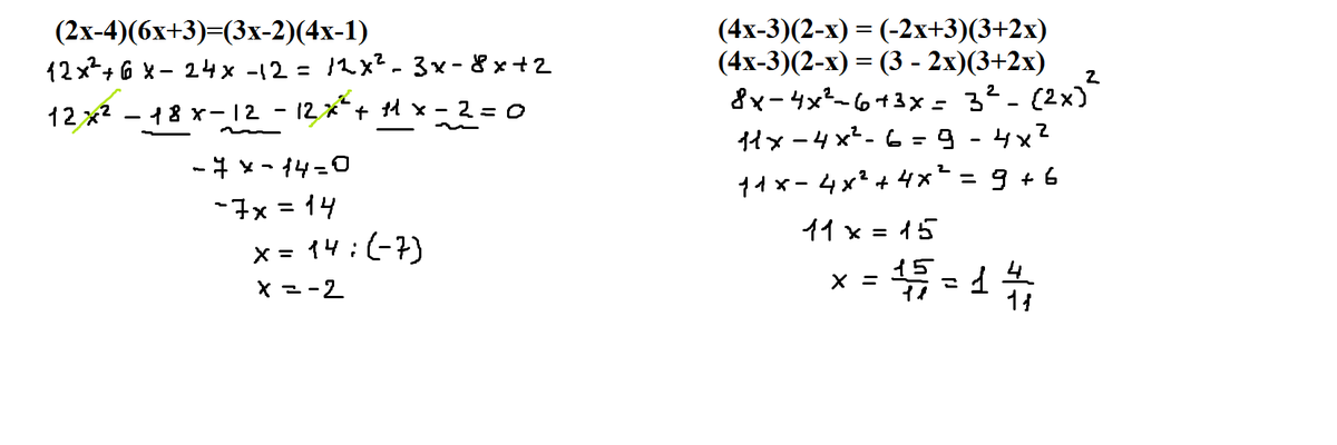
помогите решить уравнения.(2x-4)(6x+3)=(3x-2)(4x-1) (это умножение многочлена на многочлен.)
(4x-3)(2-x)=(-2x+3)(3+2x)
Ответы
Ответ дал:
0
Если понравилось решение - нажимай "спасибо" и "лучший" (рядом с кнопкой "спасибо") :)
Приложения:
Ответ дал:
0
(12х2)+6х-24х-12=(12х2)-3х-8х+2
6х-24х-12=-3х-8х+2
-7х=14
Х=-2
6х-24х-12=-3х-8х+2
-7х=14
Х=-2
Приложения:
Вас заинтересует
3 года назад
3 года назад
8 лет назад
8 лет назад
11 лет назад
11 лет назад