Ответы
Ответ дал:
1
Ответ:
Объяснение:
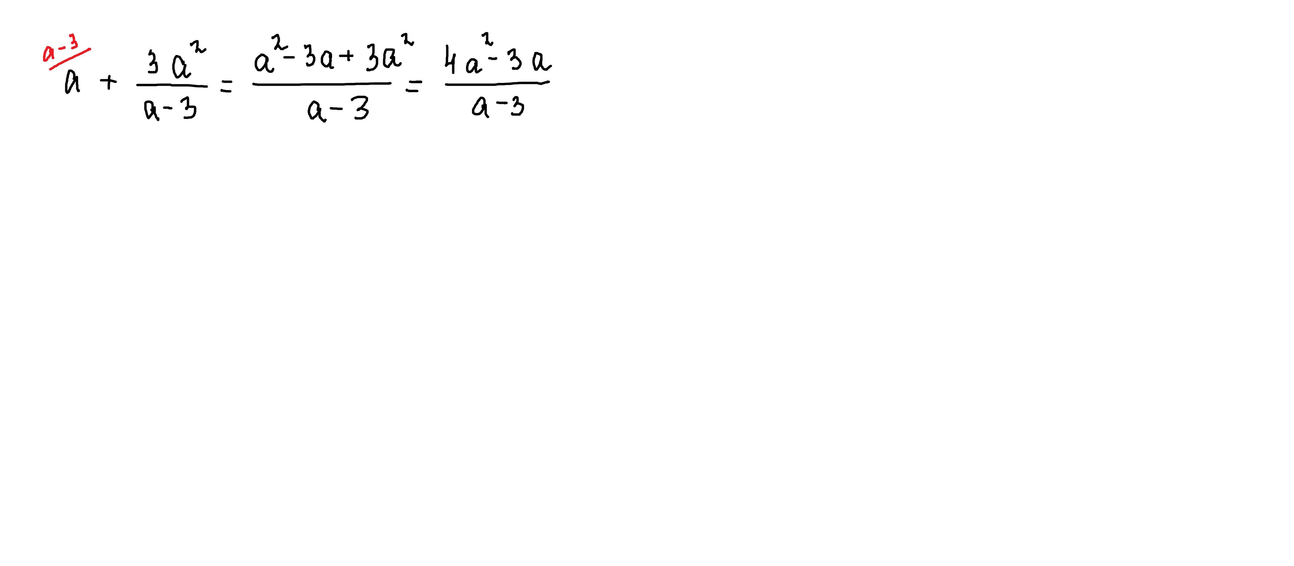
решение внизу
Приложения:

Arseniy0307:
Дякую
Вас заинтересует
1 год назад
1 год назад
1 год назад
2 года назад
2 года назад
8 лет назад