• Предмет: Алгебра
  • Автор: apolinaria201186
  • Вопрос задан 2 года назад

Хелп плиз пж:") буду благодарна

Приложения:

Ответы

Ответ дал: dianabagrova97
1

Объяснение:

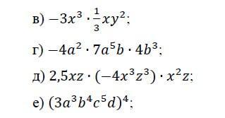
1) - 3х³ × 1/3 ху² = - 1х⁴у² = - х⁴у²

2) - 4а² × 7а⁵b × 4b³ = - 112а⁷b⁴

3) 2,5хz × ( - 4х³z³) × х²z = - 10х⁶z⁵

4) (3а³b⁴с⁵d)⁴ = 81а¹²b¹⁶с²⁰d⁴


apolinaria201186: Спасибо огромное!
Вас заинтересует