• Предмет: Математика
  • Автор: tytytyty829
  • Вопрос задан 2 года назад

ДОПОМОЖІТЬ, БУДЬ ЛАСКА!! ​

Приложения:

Ответы

Ответ дал: Oldeq
1

Ответ:

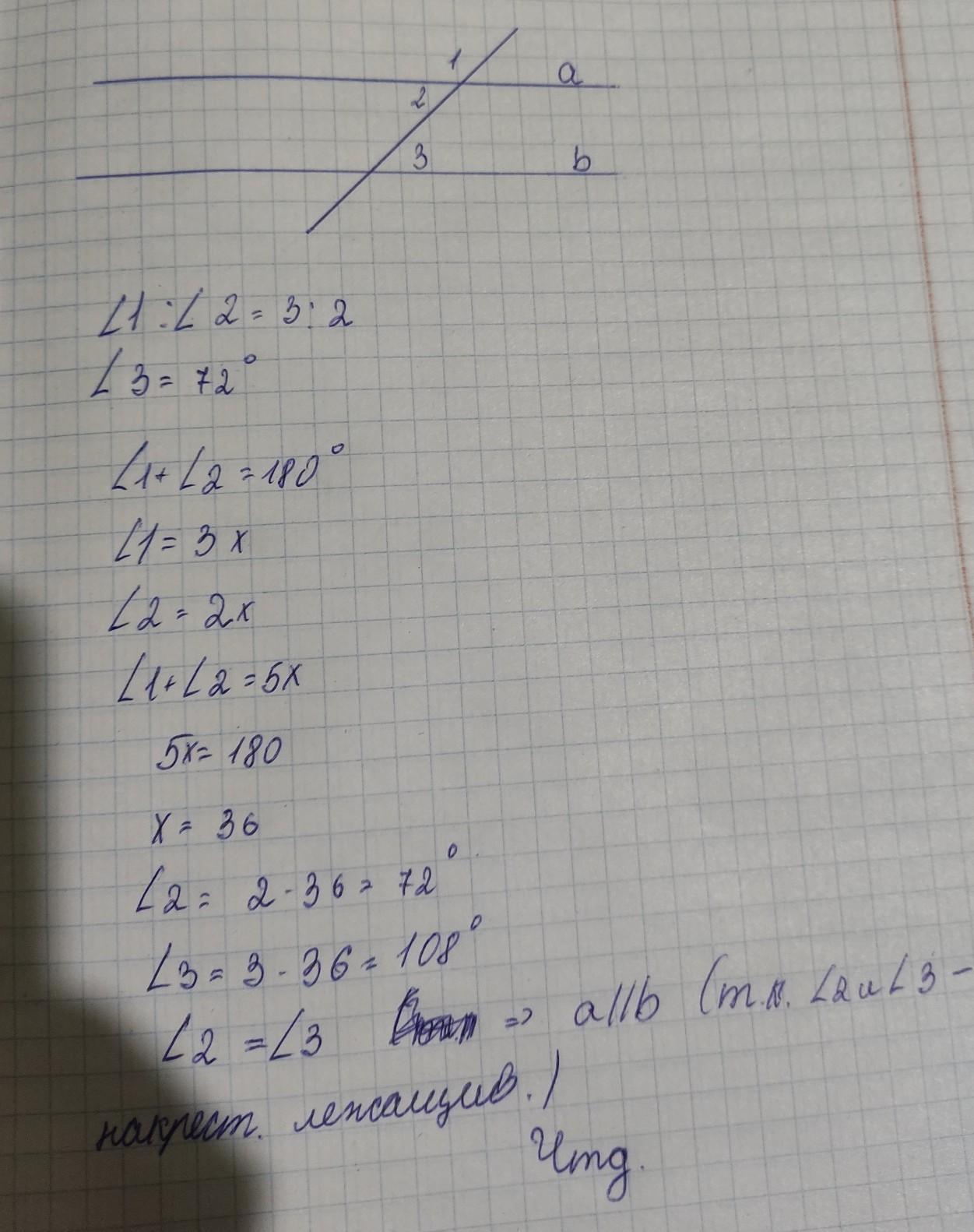
Вот так я решил( чек фотку)

Приложения:

tytytyty829: спасибо большое!!
Oldeq: да не за что, только я укр. от силы плохо знаю, поэтому перефразируй
Вас заинтересует