• Предмет: Математика
  • Автор: veronikagorb40
  • Вопрос задан 2 года назад

ПОМОГИТЕ ПОЖАЛУЙСТА, НУЖНО ОЧЕНЬ СРОЧНО!!!!

Приложения:

Ответы

Ответ дал: kirillu2022
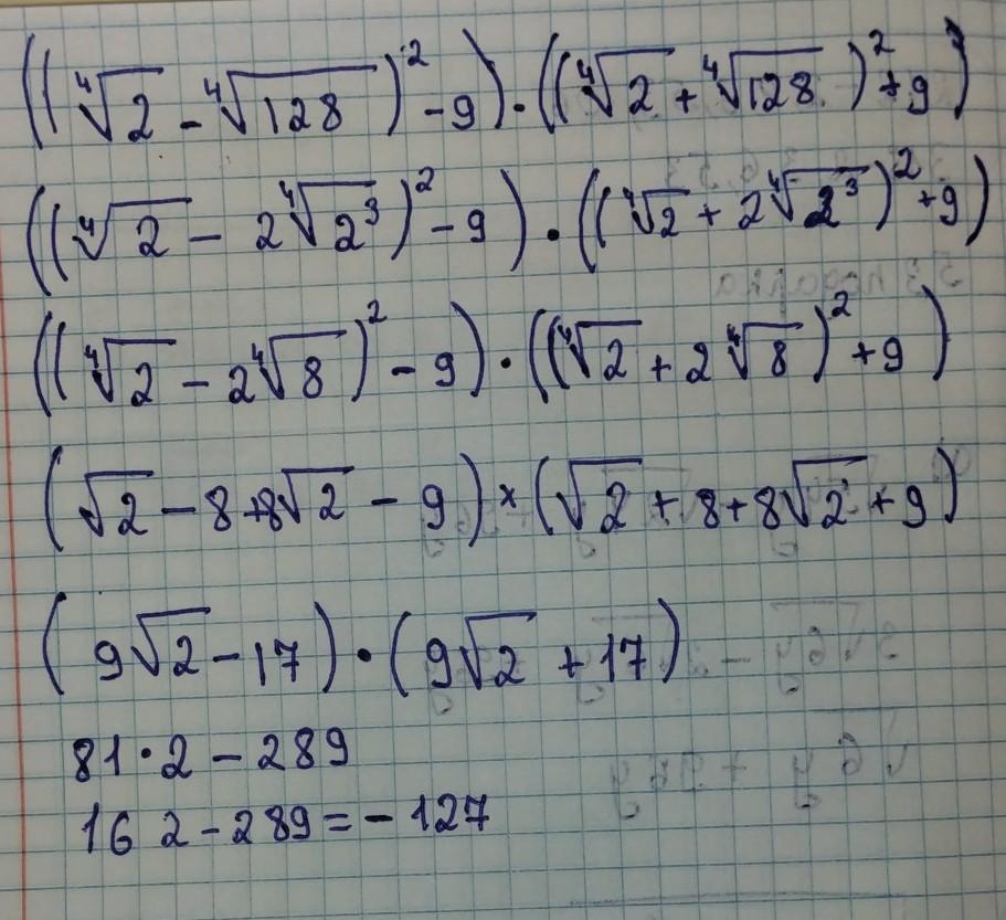
1

Если ответ вам помог отметьте пожалуйста как лучший ответ

заранее спасибо

Приложения:
Ответ дал: sstavridka
0

Ответ:

( {( \sqrt[4]{2} -  \sqrt[4]{128}  )}^{2}  - 9)( {( \sqrt[4]{2} +  \sqrt[4]{128})  }^{2}  + 9) =  \\  = ( {( \sqrt[4]{2} - 2 \sqrt[4]{ {2}^{3} })  }^{2}  - 9)( {( \sqrt[4]{2}  + 2 \sqrt[4]{ {2}^{3} }) }^{2}  + 9)  =  \\  = (9    \sqrt{2}  -8 -  9)(9 \sqrt{2}  + 8 + 9) =  \\  = (9 \sqrt{2}  - 17)(9 \sqrt{2}  + 17) =  \\  =  {9 \sqrt{2} }^{2}  -  {17}^{2}  =  \\  = 162 - 289 =  - 127

Вас заинтересует