Ответы
Ответ дал:
0
Ответ:
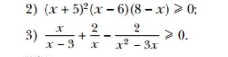
first ones answer is: x€[6;8] {-5}
second ones answer is: x€(-oo; -4] (0;2] (3;+oo)
I answered all your math questions so don't forget about the permission that you said (40balls)
Приложения:


Вас заинтересует
1 год назад
1 год назад
1 год назад
1 год назад
2 года назад
2 года назад
8 лет назад