• Предмет: Алгебра
  • Автор: ttti59379
  • Вопрос задан 1 год назад

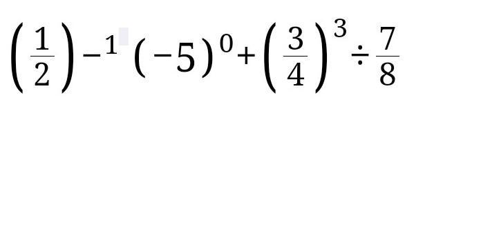
*СРОЧНО!!!! ДАМ 15Б* Вычислите: ВОПРОС НА ФОТО



ОТВЕТИТЕ КАК ПОПАЛО БАН​

Приложения:

Ответы

Ответ дал: belincevaekaterina
1

Объяснение:

ответ 10000% правильный

Приложения:
Вас заинтересует