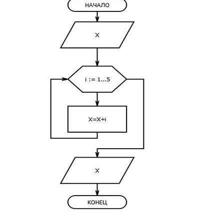
Помогите пожалуйста. Определите, что будет выведено после исполнения алгоритма при Х=3
Приложения:
Ответы
Ответ дал:
0
ответ:
x=6
объяснение:
Вас заинтересует
1 год назад
1 год назад
3 года назад
3 года назад
8 лет назад