СРОЧНО!!!!!!!!!!!!
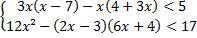
Розв’яжіть систему нерівностей:
Відповідь запишіть проміжком (десяткові дроби).
з розв'язанням
Приложения:

Ответы
Ответ дал:
0
Ответ: x ∈ (-0,2;0,2)
* x ∉ (-∞; -0,2] U [0,2; +∞)
UWU
Объяснение:
\\\\\\\XXXXX///////
-------0-------0------>x
-0,2 0,2
x ∈ (-0,2;0,2)
Ответ: x ∈ (-0,2;0,2)
Основные формулы, которые были использованы
(a+b)(c+d)=ac+ad+bc+bd
-(a+b-c)=+(-1)*(a+b-c)= - a - b + c
a(b+c)=ab+ac
-a<b *(-1)
a>-b знак меняется на противоположный
круглые скобки в ответе - исходят от > или <
квадратные скобки - исходят от ≥ или ≤
* ответ можно записывать по-разному, так что это можно считать альтернативным ответом
FortunaYT:
ты очень долго делал
Вас заинтересует
1 год назад
1 год назад
1 год назад
2 года назад
2 года назад
8 лет назад