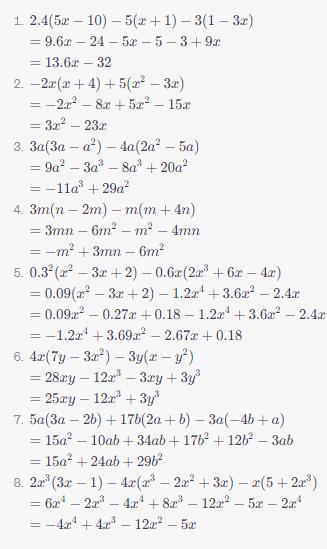
Перетворіть у многочлен стандартного вигляду вираз:
1) 2,4( 5х - 10 ) - 5( х + 1 ) - 3( 1 - 3х )
2) - 2х( х + 4 ) + 5( х² - 3х )
3) 3а( 3а - а² ) - 4а( 2а² - 5а )
4) 3m( n - 2m ) - m( m + 4n )
5) 0,3²( х² - 3х + 2 ) - 0,6х( 2х³ + 6х - 4х )
6) 4х( 7у - 3х² ) - 3у( х - у² )
7) 5а( 3a - 2b ) + 17b( 2a + b ) - 3a( - 4b + a )
8) 2x³( 3x - 1 ) - 4x( x³ - 2x² + 3x ) - x( 5 + 2x³ )
Ответы
Ответ дал:
1
Ответ:ответ в скрине
Объяснение:
Приложения:

Вас заинтересует
1 год назад
1 год назад
2 года назад
2 года назад
8 лет назад