• Предмет: Алгебра
  • Автор: makarenkorostislav3
  • Вопрос задан 2 года назад

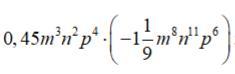
ПОМОГИТЕ ПОЖАЛУЙСТА ДРУЗЯ З АЛГЕБРО!!!!!!!!!!!! УМОЛЯЮ ТАКОЕ СЛОЖНОЕ НИКОГДА НЕ ДЕЛАЛ ПОМОГИТЕ!!!!!!!!!!!!!!!!!!!

Приложения:

Ответы

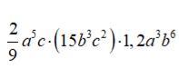
Ответ дал: glavnyimozg44
1
можно пж лучший ответ
Приложения:
Вас заинтересует