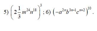
ПОМОГИТЕ ПОЖАЛУЙСТА УМОЛЯЮ ЗНАНИЯ Я ЗНАЮ ЧТО ВИ ЛУЧШИЕ!!!!!!!!!!!!!!!!!!!!!!!!!!!!!!!!!!!!!
И ПОЖАЛУЙСТА РОЗПИШИТЕ ШТОБИ БИЛ ПОЛНИЙ ОТВЕТ!!!!!!!!!!!!!
УМОЛЯЮ!!!!!!!!!!!!!!
Приложения:

Ответы
Ответ дал:
1
Надеюсь понятно написано
Приложения:


Вас заинтересует
1 год назад
1 год назад
1 год назад
2 года назад
8 лет назад