• Предмет: Алгебра
  • Автор: fctdgsygfdhngfxzgsac
  • Вопрос задан 1 год назад

Знайти похідні функцій.

Приложения:

Ответы

Ответ дал: NNNLLL54
1

Ответ:

Производные функций , заданных параметрически .

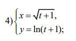
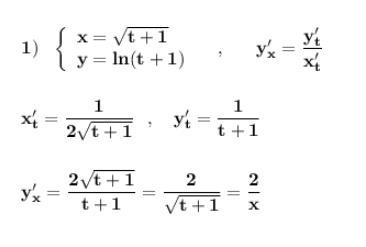
\bf 1)\ \ \left\{\begin{array}{l}\bf x=\sqrt{t+1} \\\bf y=ln(t+1)\end{array}\right\ \ \ ,\ \ \ \ \ y'_{x}=\dfrac{y'_{t}}{x'_{t}}\\\\\\x'_{t}=\dfrac{1}{2\sqrt{t+1}}\ \ ,\ \ \ y'_{t}=\dfrac{1}{t+1}\\\\\\y'_{x}=\dfrac{2\sqrt{t+1}}{t+1}=\dfrac{2}{\sqrt{t+1}}=\dfrac{2}{x}                

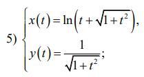
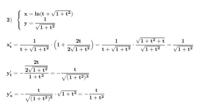
\bf 2)\ \ \left\{\begin{array}{l}\bf x=ln(t+\sqrt{1+t^2})\\\bf y=\dfrac{1}{\sqrt{1+t^2}}\end{array}\right\\\\\\x'_{t}=\dfrac{1}{t+\sqrt{1+t^2}}\cdot \Big(1+\dfrac{2t}{2\sqrt{1+t^2}}\Big)=\dfrac{1}{t+\sqrt{1+t^2}}\cdot \dfrac{\sqrt{1+t^2+t}}{\sqrt{1+t^2}}=\dfrac{1}{\sqrt{1+t^2}}\\\\\\y'_{t}=-\dfrac{\dfrac{2t}{2\sqrt{1+t^2}}}{1+t^2}=-\dfrac{t}{\sqrt{(1+t^2)^3}}\\\\\\y'_{x}=-\dfrac{t}{\sqrt{(1+t^2)^3}}\cdot \sqrt{1+t^2}=-\dfrac{t}{1+t^2}  

Приложения:

fctdgsygfdhngfxzgsac: спасибо большое)
Вас заинтересует