• Предмет: Алгебра
  • Автор: olefirenkokira89
  • Вопрос задан 1 год назад

8АЛГЕБРАСРОЧНО%)БАЛЛОВ

Приложения:

Ответы

Ответ дал: Anubis1221
0

Ответ:

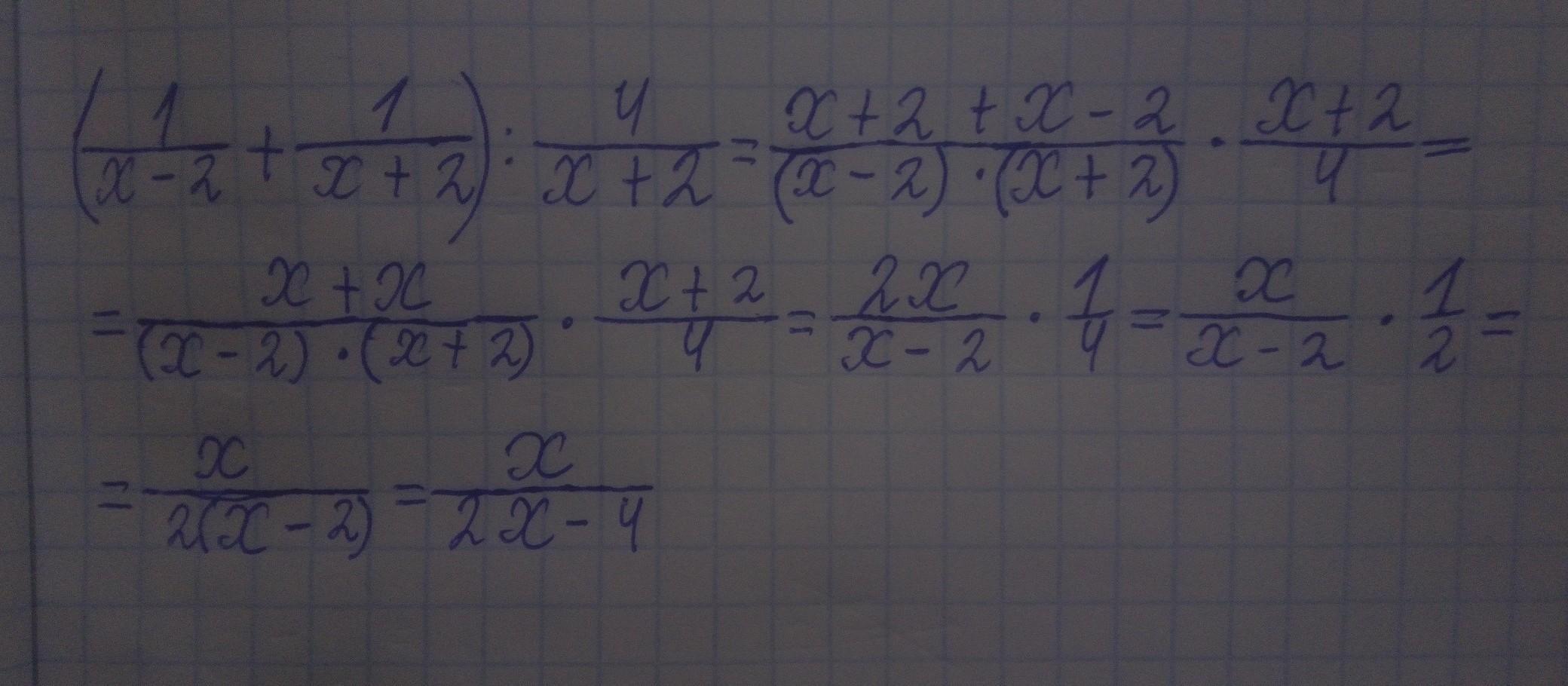
 \frac{x}{2x - 4}

Ответ дал: Katja5689
2

Відповідь:

 \frac{x}{2x - 4}

Пояснення: на фото.

Приложения:
Вас заинтересует