• Предмет: Алгебра
  • Автор: kortes19kortes73
  • Вопрос задан 1 год назад

ПОМОГИТЕ ПОЖАЛУЙСТА Если можно фото так как решали помогите мне надо его здать в 17:00​

Приложения:

Аноним: скину розв‘язок в інст @mathematic_89

Ответы

Ответ дал: layma4715
1

Ответ:

№1

x+11≠0

x≠11

x in (- ∞; - 11) cup(-11;+ infty)

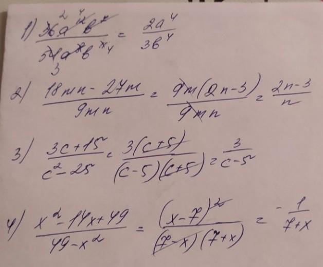
2

на первой фотке

3

1) 5 * (- 6) / 6 * 2 - 4 -9*/9*3

15 * 2 -18*-2(4-9*)/18*3 15 * 2 - 8/18 * 3

2) 42 / b * 2 + 7b - 6 / b

252 /b^ * +7b2

) c * 2 / c * 2 - 16 - c / c + 4

subset2-c^ * (c - 4) /(c-4)^ * (c+4)

c 2-c 2+4c/(c-4)^ * (c+4)

c 2-c 2+4c/c 2-16

Убираем из выражения с2 и с2 4c / c * 2 - 16

4) 3y - 18y * 2/6 * y + 1

3y^ * (6y + 1) - 18y * 2/6 * y + 1

Распределяем Зу через скобки

18 y2+3y-18y2/6y+1

18 y2+3y-18y2/6y+1

3y / 6 * y + 1

4

на второй фотке

5

(x + 4y) / y = 10

x / y + 4 = 10

x / y = 6

(x + 4y) / y = 10

x + 4y =10^ * y

x = 10y - 4y

x = 6y

(7x-y)/x=(7^ * 6y-y)/ 6y = 41y / 6 * y = 41/6 = 6 5/6

6

Y = 2x² + 4x - X² + 1

Пошаговое объявление:

МОЖНО ЛУЧШИЙ ОТВЕТ ПОЖАЛУЙСТА

Приложения:

proninaver: дякую
Вас заинтересует