Ответы
Ответ дал:
1
Ответ:
1.дрiб менший за,0,5?
а)13/27=0,48
б)3/4
г)34/51
2.скороьнiй дрiб
а)13/17=0,48
б)3/4=0,75
г)34/51=2/3=0,(6)
ofew:
не очень понятно
Ответ дал:
0
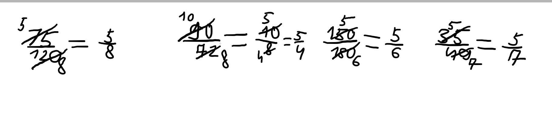
Решение: Прикрепил во вложении к ответу.
Если не сложно, отметьте мой ответ как "лучший".
Приложения:

Вас заинтересует
1 год назад
1 год назад
1 год назад
2 года назад
2 года назад
8 лет назад