Ответы
Ответ дал:
0
Ответ:
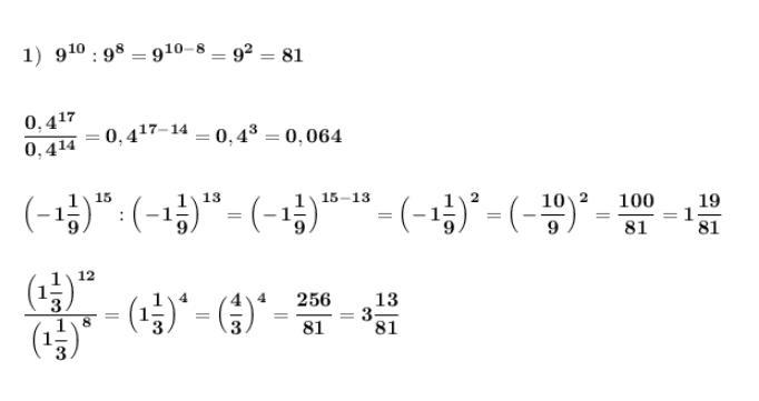
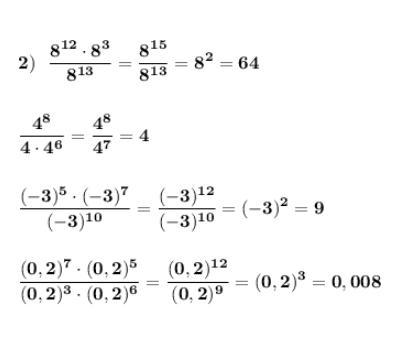
Вычислить значения выражений . Применяем свойства степеней .
Приложения:



Вас заинтересует
1 год назад
1 год назад
2 года назад
8 лет назад