• Предмет: Алгебра
  • Автор: dudnikantonina1
  • Вопрос задан 1 год назад

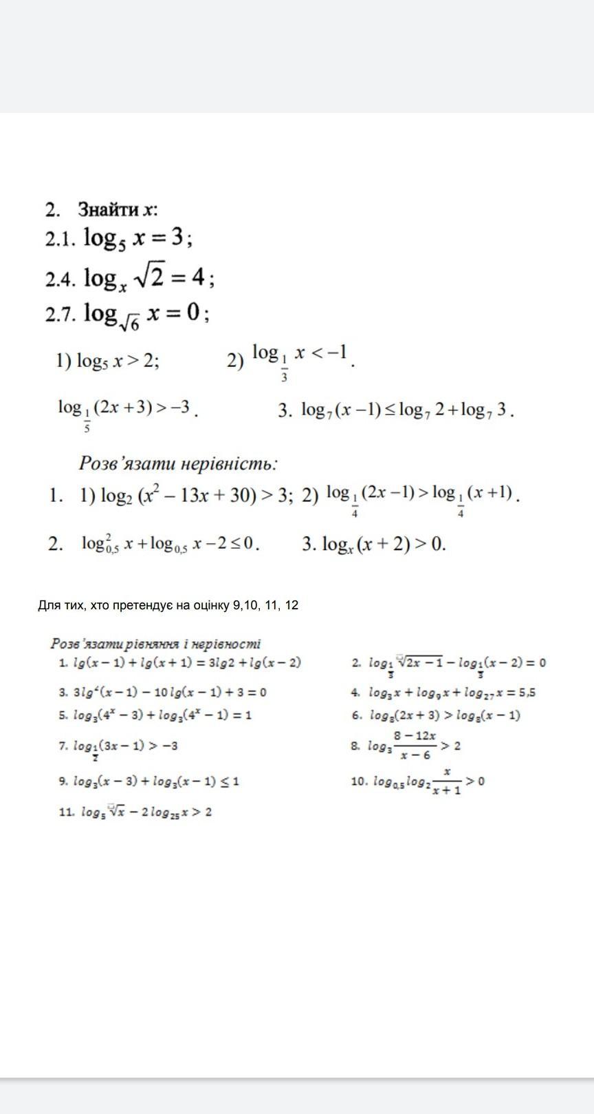
2. Знайти х: 2.1. log, x=3​

Приложения:

Ответы

Ответ дал: Ivan19074
0

Ответ:

x = 125

Объяснение:

Логарифм - это действие, обратное возведению в степень. Поэтому х = 5^3 = 125

Вас заинтересует