• Предмет: Алгебра
  • Автор: liubovverrs
  • Вопрос задан 2 года назад

СРОЧНО! Розв’яжіть нерівності: (див. фото)

Приложения:

Ответы

Ответ дал: 7x8
0

Ответ:

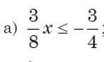
а)

\displaystyle (-\infty;-2]

б)

\displaystyle (-\infty;\frac{8}{11})

Объяснение:

а)

\displaystyle \frac{3}{8}x\le -\frac{3}{4}\ \ \ |: \frac{3}{8}\\\\x\le -\frac{3}{4}:\frac{3}{8}\\\\x\le -\frac{3}{4}\cdot \frac{8}{3}\\\\x\le -2\\\\x\in(-\infty;-2]

б)

\displaystyle7x-4 > 6(3x-2)\\\\7x-4 > 18x-12\\\\7x-18x > -12+4\\\\-11x > -8\ \ \ \ |:(-11)\\\\x < \frac{8}{11}\\\\x\in(-\infty;\frac{8}{11})

Вас заинтересует