• Предмет: Математика
  • Автор: helpme228998
  • Вопрос задан 1 год назад

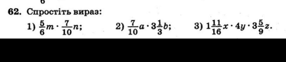
помогитеееееееееееееее​

Приложения:

Ответы

Ответ дал: natalispring1
1

Відповідь:

Покрокове пояснення:

Приложения:
Ответ дал: viktoriamosk66
0
24xzy
Вот ответ
Поставь пж спасибо
Вас заинтересует