• Предмет: Химия
  • Автор: vladislavslinchenko
  • Вопрос задан 2 года назад

СРОЧНО ПОМОГИТЕ СДЕЛАТЬ РАБОТУ ПО ХИМИИ ПО ПЛАНУ, ДАЮ 60 БАЛОВ

Приложения:

Ответы

Ответ дал: uiibababoj
0

Ответ:

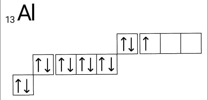
Ответ в закреплёном фото

Приложения:
Вас заинтересует