• Предмет: Алгебра
  • Автор: b8grcwzrjk
  • Вопрос задан 2 года назад

СРОЧНО ДАЮ 30 БАЛЛОВ

Приложения:

Ответы

Ответ дал: kaktus7869
1

Ответ:

Завдання:

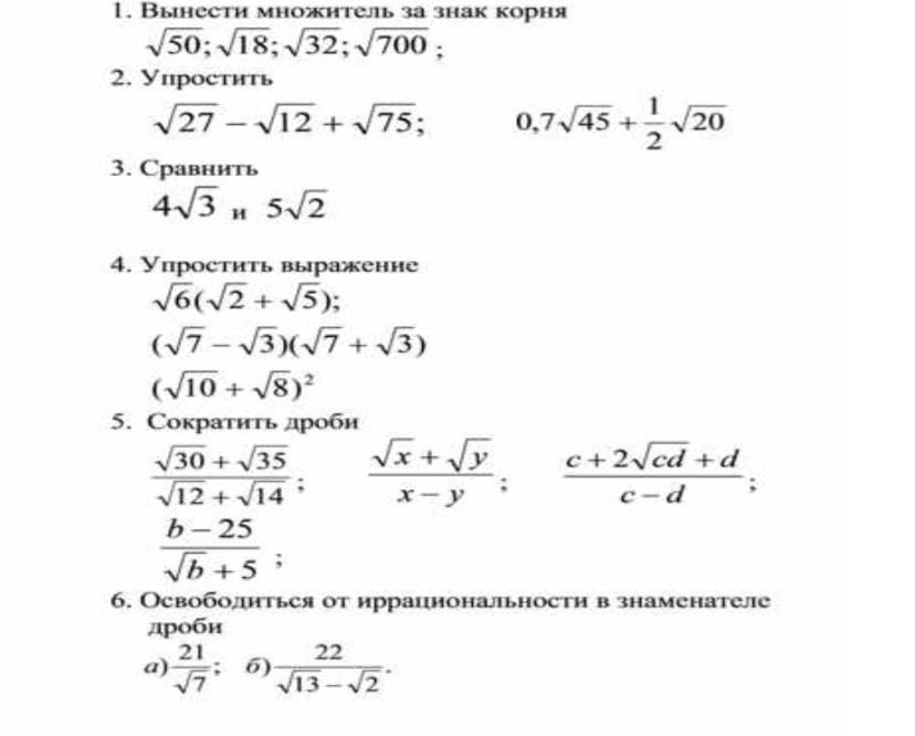
Винесіть множитель за знак кореня √50; √18; √32; √700;

Розв'язання:

√50 = √25 * √2 = 5√2

√18 = √9 * √2 = 3√2

√32 = √16 * √2 = 4√2

√700 = √25 * √28 = 5√28

Відповідь:

√50 = 5√2

√18 = 3√2

√32 = 4√2

√700 = 5√28

Обґрунтування:

Щоб винести множитель за знак кореня, необхідно помножити і поділити вираз на квадрат кореня множителя.

Наприклад, для √50:

√50 = √(25 * 2) = √25 * √2 = 5√2

Ось ще один варіант розв'язання:

√50 = √(5^2 * 2) = 5√2

√18 = √(3^2 * 2) = 3√2

√32 = √(4^2 * 2) = 4√2

√700 = √(25^2 * 2^2) = 5√28

Відповідь:

√50 = 5√2

√18 = 3√2

√32 = 4√2

√700 = 5√28

Обґрунтування:

Цей варіант розв'язання використовує властивість множення квадратів:

(a^2 * b^2) = (a * b)^2

Отже, √(a^2 * b^2) = (a * b)√2

У цьому випадку:

√(5^2 * 2^2) = (5 * 2)√2 = 10√2

Однак, оскільки в задачі потрібно винести множитель 5, то ми можемо скоротити 10 на 5, отримавши 5√2.

Объяснение:

Вас заинтересует