• Предмет: Алгебра
  • Автор: Natalia69014
  • Вопрос задан 2 года назад

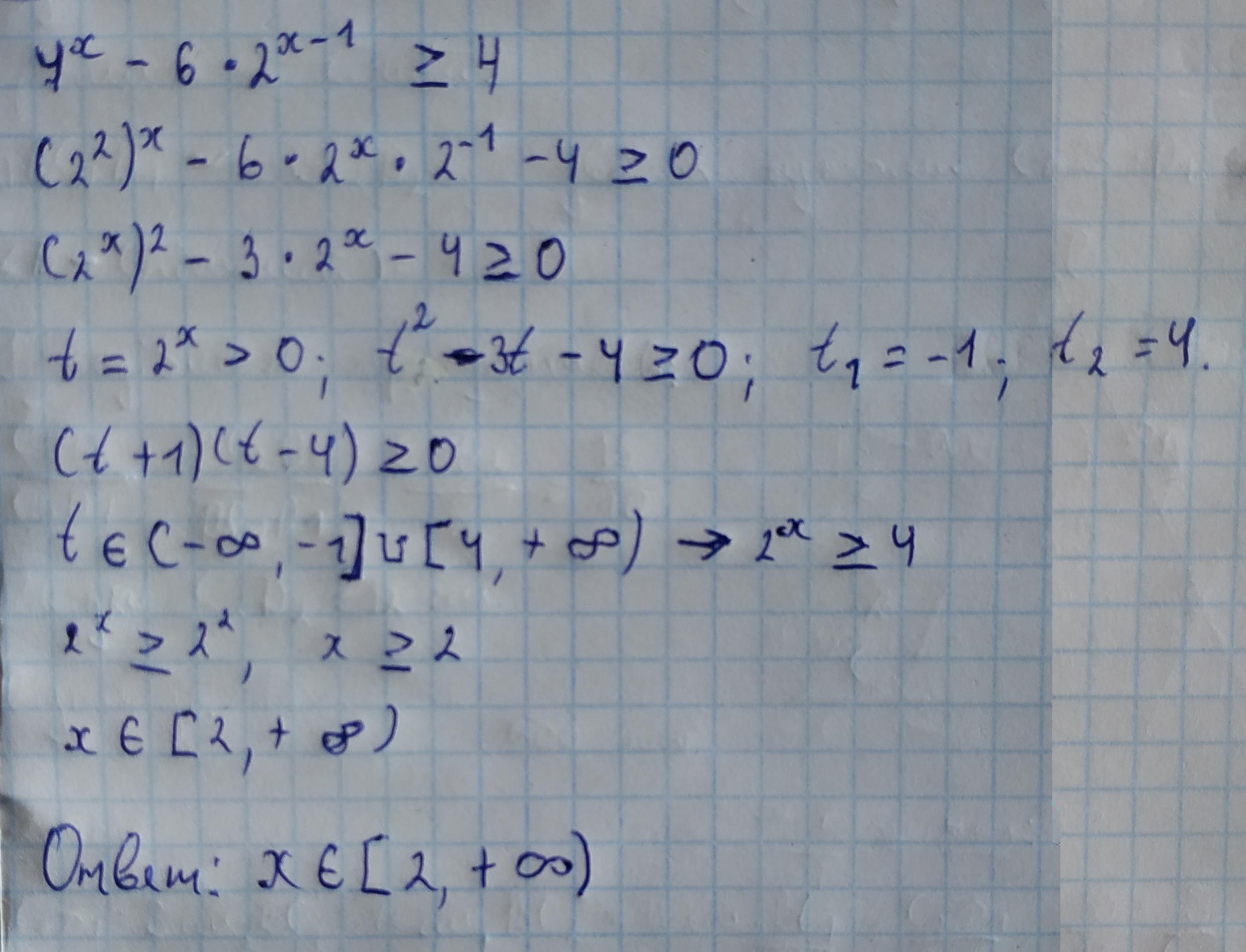
розв'яжіть нерівність:
4^x-6•2^x-1≥ 4

Ответы

Ответ дал: Lera89012
0

.............................................

Приложения:
Вас заинтересует