• Предмет: Алгебра
  • Автор: reconyarik
  • Вопрос задан 1 год назад

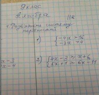
Розв'яжіть систему нерівностей
даю 40 б

Приложения:

Ответы

Ответ дал: pushpull
1

Ответ:

1) x < -4

2) 3 ≤ x ≤ 12

Объяснение:

1)

\displaystyle \left \{ {{-4x &gt; 16} \atop {-3x &gt; 4}} \right. \left \{ {{x &lt; -4} \atop {x &lt; -4/3}} \right. \; \Rightarrow x &lt; -4

2)

\displaystyle \left \{ {4x-3\geq x+6} \atop {5x+1\geq 6x-11}} \right. \left \{ {{4x-x\geq 6+3\hfill} \atop {5x-6x\geq -11-1}} \right. \left \{ {{3x\geq 9} \atop {-x\geq -12}} \right. \left \{ {{x\geq 3} \atop {x\leq 12}} \right. \;  \Rightarrow x\in[3;12]


reconyarik: красавчик, дякую
Вас заинтересует