• Предмет: Математика
  • Автор: Аноним
  • Вопрос задан 2 года назад

Помогите даю 100 Юрлов до 22:00

Приложения:

Ответы

Ответ дал: iramazurk
1

Пошаговое объяснение:

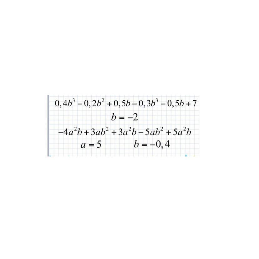
0,4в³ - 0,2в² + 0,5в - 0,3в³ - 0,5в + 7 =

(0,4в³ - 0,3в³) + (-0,2в²) + (0,5в - 0,5в) + 7 =

0,1в³ - 0,2в² + 0 + 7 = 0,1в³ - 0,2в² + 7

в = -2

0,1в³ - 0,2в² + 7 = 0,1 * (-2)³ - 0,2 * (-2)² + 7 =

0,1 * (-8) - 0,2 * 4 + 7 = -0,8 - 0,8 + 7 = 5,4

-4а²в + 3ав² + 3а²в - 5ав² + 5а²в =

(-4а²в + 3а²в + 5а²в) + (3ав² - 5ав²) =

4а²в + (-2ав²) = 4а²в - 2ав²

а = 5; в = -0,4

4а²в - 2ав² = 4 * 5² * (-0,4) - 2 * 5 * (-0,4)² =

4 * 25 * (-0,4) - 2 * 5 * 0,16 = -40 - 1,6 = -41,6

Вас заинтересует