• Предмет: Алгебра
  • Автор: tuapjeif
  • Вопрос задан 1 год назад

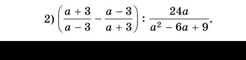
Спростіть вираз (расписать всё подробно. Даю 20 баллов)

Приложения:

Ответы

Ответ дал: elisavetakristinn
1

Ответ:

( \frac{a + 3}{a - 3}  -  \frac{a - 3}{a + 3} ) \div  \frac{24a}{ {a}^{2} - 6a + 9 }  \\ \frac{(a + 3)  {}^{2} - (a - 3) {}^{2} }{(a - 3) \times (a + 3)}  \times  \frac{ {a}^{2} - 6a + 9 }{24a}  \\  \frac{6 \times 2a}{(a - 3) \times (a + \: 3)}  \times  \frac{(a - 3) {}^{2} }{24a}  \\  \frac{12a}{a + 3}  \times  \frac{a - 3}{24a}  \\  \frac{1}{a + 3}  \times  \frac{a - 3}{2}  \\  \frac{a - 3}{2(a + 3)}  \\  \frac{a - 3}{2a + 6}

Вас заинтересует