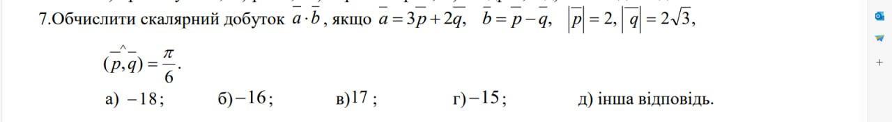
Обчислити скалярний добуток векторів а і b: a = 3p + 2q, b = p-q, | p | = 2, | q | = 2√3, кут між векторами p і q = π/6
Приложения:

Ответы
Ответ дал:
1
Ответ:
Для обчислення скалярного добутку векторів а і b, нам потрібно знати компоненти цих векторів.
За наданою інформацією, виразимо вектори а і b в термінах p і q:
a = 3p + 2q
b = p - q
Тепер розрахуємо скалярний добуток:
a · b = (3p + 2q) · (p - q)
= 3p · p + 2q · p - 3p · q - 2q · q
Згідно з властивостями скалярного добутку, p · p = |p|², q · q = |q|², p · q = |p| * |q| * cos(θ), де θ - кут між векторами p і q.
Таким чином, підставивши дані, отримаємо:
a · b = 3|p|² + 2|q|² - 3|p| * |q| * cos(θ) - 2|q|²
= 3(2)² + 2(2√3)² - 3(2)(2√3)cos(π/6) - 2(2√3)²
= 12 + 24 - 12√3 - 24
= 12 - 12√3
Отже, скалярний добуток векторів а і b дорівнює 12 - 12√3.
Вас заинтересует
1 год назад
1 год назад
1 год назад
1 год назад
2 года назад
8 лет назад