Ответы
Ответ дал:
0
Ответ:
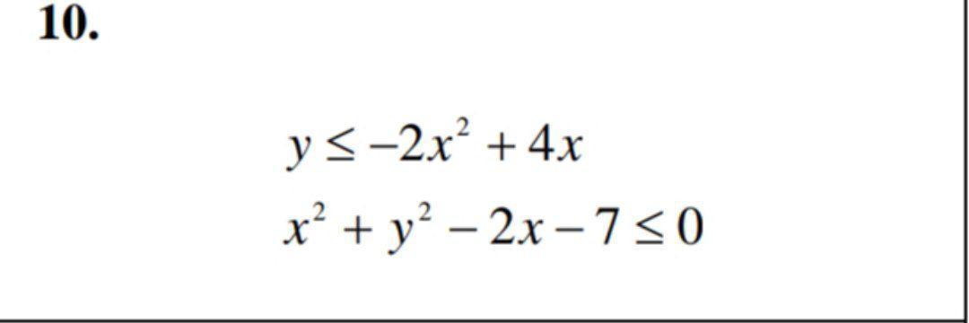
1. уравнение параболы.
значения подходящие под условия - внутри параболы
2. уравнение окружности
значения внутри круга удовлетворяют условиям
Приложения:

Вас заинтересует
1 год назад
1 год назад
1 год назад
1 год назад
2 года назад
2 года назад
8 лет назад