• Предмет: Геометрия
  • Автор: krcr113
  • Вопрос задан 2 года назад

Помогите решить пожалуйста

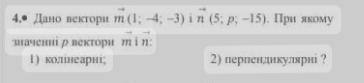
Приложения:

Ответы

Ответ дал: ayyakxx
1

Ответ:

2) перпендикулярно,тут все легко

Вас заинтересует