Ответы
Ответ дал:
3
Ответ:
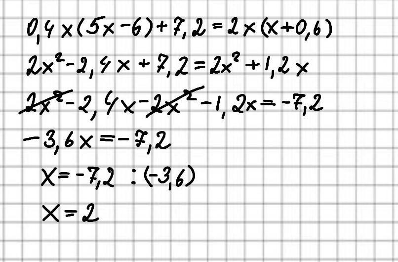
0,4x(5x-6)+7,2=2x(x+0,6)
x=2
Проверка:
0,4×2(5×2-6)+7,2=2×2(2+0,6)
0,8(10-6)+7,2=4(2+0,6)
8-4,8+7,2=8+2,4
10,4=10,4
Приложения:

Вас заинтересует
1 год назад
1 год назад
2 года назад
8 лет назад