• Предмет: Математика
  • Автор: darinadasha17
  • Вопрос задан 1 год назад

помогите спасти!!!!!!​

Приложения:

Ответы

Ответ дал: sergiu04052008
1

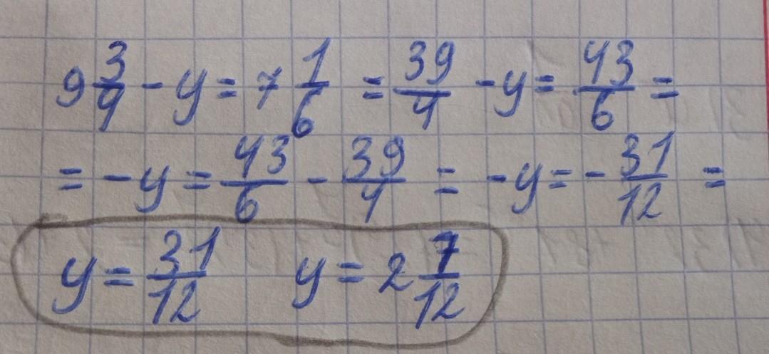
Ответ:

Фото

________________

Приложения:
Вас заинтересует