• Предмет: Алгебра
  • Автор: mary09pm
  • Вопрос задан 1 год назад

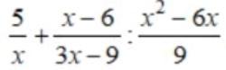
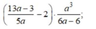
пожалуйста помогите с алгеброй
задание на фото

Приложения:

Ответы

Ответ дал: valeria1465
1

Відповідь: 5 х -12

                    _____

                   х²-3х

ответ 2 : а²

              ___

               10

Вас заинтересует