• Предмет: Алгебра
  • Автор: 66667777pop
  • Вопрос задан 2 года назад

Нужно срочно решить 3 примера с алгебры!

Приложения:

Ответы

Ответ дал: Alnadya
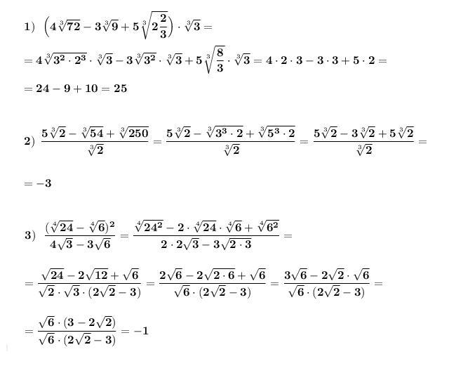
1

Ответ:

Действия с корнями .

\bf 1)\ \ \Big(4\sqrt[3]{\bf 72}-3\sqrt[3]{\bf 9}+5\sqrt[3]{\bf 2\dfrac{2}{3}}\Big)\cdot \sqrt[3]{\bf 3}=\\\\=4\sqrt[3]{\bf 3^2\cdot 2^3}\cdot \sqrt[3]{\bf 3}-3\sqrt[3]{\bf 3^2}\cdot \sqrt[3]{\bf 3}+5\sqrt[3]{\bf \dfrac{8}{3}}\cdot\sqrt[3]{\bf 3}=4\cdot 2\cdot 3-3\cdot 3+5\cdot 2=\\\\=24-9+10=25  

\bf 2)\ \ \dfrac{5\sqrt[3]{\bf 2}-\sqrt[3]{\bf 54}+\sqrt[3]{\bf 250}}{\sqrt[3]{\bf 2}}=\dfrac{5\sqrt[3]{\bf 2}-\sqrt[3]{\bf 3^3\cdot 2}+\sqrt[3]{\bf 5^3\cdot 2}}{\sqrt[3]{\bf 2}}=\dfrac{5\sqrt[3]{\bf 2}-3\sqrt[3]{\bf 2}+5\sqrt[3]{\bf 2}}{\sqrt[3]{\bf 2}}=\\\\=-3

\bf 3)\ \ \dfrac{(\sqrt[4]{\bf 24}-\sqrt[4]{\bf 6})^2}{4\sqrt3-3\sqrt6}=\dfrac{\sqrt[4]{\bf 24^2}-2\cdot \sqrt[4]{\bf 24}\cdot \sqrt[4]{\bf 6}+\sqrt[4]{\bf 6^2}}{2\cdot 2\sqrt3-3\sqrt{2\cdot 3}}=\\\\\\=\dfrac{\sqrt{24}-2\sqrt{12}+\sqrt6}{\sqrt2\cdot \sqrt3\cdot  (2\sqrt2-3)}=\dfrac{2\sqrt6-2\sqrt{2\cdot 6}+\sqrt6}{\sqrt6\cdot (2\sqrt2-3)}=\dfrac{3\sqrt6-2\sqrt2\cdot \sqrt6}{\sqrt6\cdot (2\sqrt2-3)}=\\\\\\=\dfrac{\sqrt6\cdot (3-2\sqrt2)}{\sqrt6\cdot (2\sqrt2-3)}=-1      

Приложения:
Вас заинтересует