• Предмет: Алгебра
  • Автор: antoninamisura22
  • Вопрос задан 1 год назад

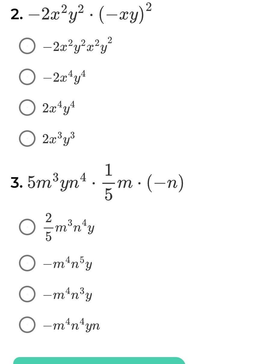
Помогите пожалуста!!!!!​

Приложения:

Ответы

Ответ дал: anchennazyoma14
0

Ответ:

2. -2x⁴ y⁴

3. -m⁴n⁵y

Объяснение:

ososoososoos

Вас заинтересует