• Предмет: Алгебра
  • Автор: weteranartem43
  • Вопрос задан 2 года назад

помогите дам 57 балов ​

Приложения:

Ответы

Ответ дал: 7x8
1

Ответ:

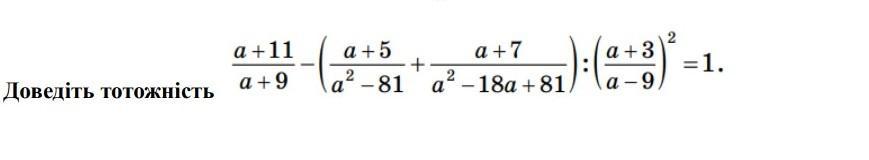
\displaystyle \frac{a+11}{a+9}-\left(\frac{a+5}{a^2-81}+\frac{a+7}{a^2-18a+81}\right):\left(\frac{a+3}{a-9}\right)^2=1

Объяснение:

\displaystyle \frac{a+11}{a+9}-\left(\frac{a+5}{a^2-81}+\frac{a+7}{a^2-18a+81}\right):\left(\frac{a+3}{a-9}\right)^2=\\\\\\\frac{a+11}{a+9}-\left(\frac{a+5}{(a-9)(a+9)}+\frac{a+7}{(a-9)^2}\right)\cdot\frac{(a-9)^2}{(a+3)^2}=\\\\\\\frac{a+11}{a+9}-\left(\frac{(a+5)(a-9)}{(a-9)^2(a+9)}+\frac{(a+7)(a+9)}{(a-9)^2(a+9)}\right)\cdot\frac{(a-9)^2}{(a+3)^2}=

\displaystyle\frac{a+11}{a+9}-\frac{a^2-9a+5a-45+a^2+9a+7a+63}{(a-9)^2(a+9)}\cdot\frac{(a-9)^2}{(a+3)^2}=\\\\\\\frac{a+11}{a+9}-\frac{2a^2 + 12a + 18}{a+9}\cdot\frac{1}{(a+3)^2}=\\\\\\\frac{a+11}{a+9}-\frac{2(a^2 + 6a + 9)}{a+9}\cdot\frac{1}{(a+3)^2}=

\displaystyle \frac{a+11}{a+9}-\frac{2(a+3)^2}{a+9}\cdot\frac{1}{(a+3)^2}=\\\\\\\frac{a+11}{a+9}-\frac{2}{a+9}=\frac{a+11-2}{a+9}=\frac{a+9}{a+9}=1


weteranartem43: спс
7x8: :)
Вас заинтересует