Ответы
Ответ дал:
0
Ответ:
...................
Пошаговое объяснение:
............
Приложения:

Ответ дал:
0
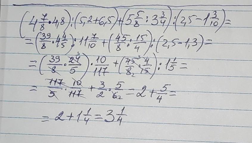
Ответ:3 1/4 або 3.25
Пошаговое объяснение:
Вас заинтересует
1 год назад
1 год назад
1 год назад
1 год назад
2 года назад
2 года назад
8 лет назад