• Предмет: Алгебра
  • Автор: omgyaliza
  • Вопрос задан 10 лет назад

Помогите пожалуйста буду очень благодарна если решите, вот еще варианты ответов, напишите решения еще пожалуйста

Приложения:

Ответы

Ответ дал: Freakazoid
0
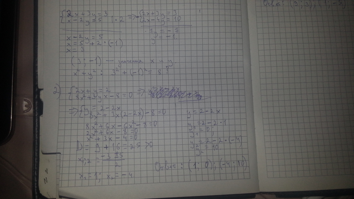
Решения во вложениях
--------
-------
-----
-----
Приложения:
Ответ дал: omgyaliza
0
это невероятно просто, боооже правда огромное спасибо вам, не представляю чтобы я делала если бы вы мне не помогли, спасибо большоее
Ответ дал: omgyaliza
0
можно только вопрос откуда в последнем выражении когда считается дискриминант у вас получилось 25-9, таки 10 в квадрате 100 же вроде:D а у вас 25?
Ответ дал: Freakazoid
0
очень рад, что помог) пол Дискриминанта, т.е. если b = 2 * k. то D=n^2 - ac. в нашем случае 10 это 2*5, поэтому берем 5^2 - ac. ac не умножаем на 4.
Ответ дал: Freakazoid
0
ответ будет таким же, что с полным Дискриминантом. но так легче, маленькие числа)
Ответ дал: omgyaliza
0
аа ну понятно, все ровно огромное спасибо
Вас заинтересует