• Предмет: Алгебра
  • Автор: dashashamrulop
  • Вопрос задан 2 года назад

срочно нужно сделать дам 25 баллов!!!​

Приложения:

Ответы

Ответ дал: NNNLLL54
1

Ответ:

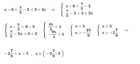
Двойное неравенство равносильно системе неравенств :  

\bf x-6 < \dfrac{x}{5}-2 < 3+2x\ \ \ \Rightarrow \ \ \ \left\{\begin{array}{l}\bf x-6 < \dfrac{x}{5}-2\\\bf \dfrac{x}{5}-2 < 3+2x\end{array}\right\\\\\\\left\{\begin{array}{l}\bf x-\dfrac{x}{5} < 6-2\\\bf \dfrac{x}{5}-2x < 3+2\end{array}\right\ \ \left\{\begin{array}{l}\bf \dfrac{4x}{5} < 4\\\bf -\dfrac{9x}{5} < 5\end{array}\right\ \ \left\{\begin{array}{l}\bf x < 5\\\bf x > -\dfrac{25}{9}\end{array}\right\ \ \left\{\begin{array}{l}\bf x < 5\\\bf x > -2\dfrac{7}{9}\end{array}\right\ \ \Rightarrow    

\bf -2\dfrac{7}{9} < x < 5\ \ ,\ \ x\in \Big(-2\dfrac{7}{9}\, ;\, 5\  \Big)                      

Приложения:
Вас заинтересует